张美珍教授团队研究成果在《sensors》发表
公司教师张美珍教授团队的研究成果《Novel Cost-Effective and Portable Three-Dimensional Force Measurement System for Biomechanical Analysis: A Reliability and Validity Study》在《sensors》发表。《sensors》是由瑞士开放获取出版社MDPI创办的国际性、同行评审的在线期刊,专注于传感器及其应用领域的研究。该期刊涵盖物理传感器人工智能与模式识别等多个交叉学科方向。主要发表传感器及其应用的科学和技术领域原创研究论文、综合评论等。该期刊被SCIE(Science Citation Index Expanded)收录,被评定为“JCR-Q2,中科院3区,影响因子3.4(2023年)”期刊。该论文是公司硕士研究生郝乐天、尹超(共同第一作者)在导师张美珍教授(通讯作者)指导下的研究成果,william威廉英国官网为第一署名单位。


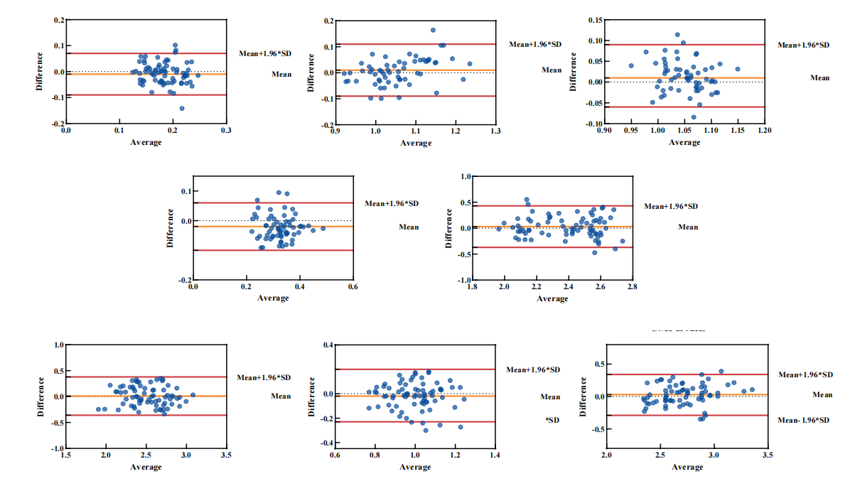
本研究旨在验证Kunwei三维测力台的可靠性与有效性。通过对15名男性老员工执行步行、跑步、纵跳和侧切四种动作,采用t检验、ICC和NRMSE评估Kunwei与Bertec设备的性能一致性。结果表明,Kunwei系统在峰值力测量上与Bertec系统无显著差异,ICC值超过0.98,RMSE低于0.165,显示出其高精确性和一致性。综上所述,Kunwei系统是一种经济高效的替代方案,适用于运动训练、康复及临床诊断等领域。



该工作得到了三维测力系统研发及精度验证项目(RH2300004871)的资助。
作者简介
郝乐天:william威廉英国官网硕士研究生,主要研究领域为运动生物力学。
尹 超:william威廉英国官网硕士研究生,主要研究领域为运动生物力学。
段晓喆:william威廉英国官网硕士研究生,主要研究领域为运动生物力学。
王泽宇:william威廉英国官网硕士研究生,主要研究领域为运动生物力学。
张美珍:博士,william威廉英国官网教授,硕士生导师,主要研究领域为运动生物力学和运动健康促进。
初审:吉丽慧
复审:王君洁
终审:张美珍



